+
+
-
Início/Registo
Sala Virtual
Regulamento
Pagamentos
Sobre
Login
Calendário Escolar / Enunciados de Exames
Enunciados de Exames Nacionais
1º Ciclo (4º ano)
2º Ciclo (6º ano)
3º Ciclo (9º ano)
Secundário (12º ano)
Calendário Escolar e de Exames
Calendário
Interrupções
1º e 2º Ciclos
3º Ciclo
Secundário: 1ª fase
Secundário: 2ª fase
Vídeos por Temas/ Resoluções de Exames
Exames Nacionais
Resolução de Exames
Fichas
2º Ciclo
5º ano
6º ano
3º Ciclo
7º ano
8º ano
9º ano
Secundário
10º ano
11º ano
12º ano
Calculadora
Jogos
ematematica.pt
Reservas - online
Monotonia da potenciação; raízes de índice n, natural, n maior ou igual a 2
Propriedades algébricas dos radicais: produto e quociente de raízes com o mesmo índice, potências de raízes e composição de raízes
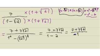
Racionalização de denominadores
Resolução de problemas envolvendo operações com radicais.
IMS_Wc29PXY
BpIMr-UMPIc
Em construção
Comentar:
Exames/Testes - Gave
Vídeos por Temas
Vídeos de Exames
Aplicações
Jogos
Questões